❝原文:https://phantom.zone/posts/phantom-release1
作者:Janmajaya Mall,Jean-Philippe Bossuat
译者:Kurt Pan
今年早些时候,我们发布了 Phantom 的原型,即 RISC-V FHE VM。今天,我们很高兴发布 Phantom 的首个端到端实现。
简言之,Phantom 是一个使用 FHE 电路实现 RV32I ISA 的 RISC-V FHE VM。因此,Phantom 可以在任意输入上执行任意 RISC-V 二进制文件,其中输入和 RISC-V 二进制文件都是加密的。这意味着,程序的执行者(即服务器)无法从执行轨迹中获知关于程序或输入的任何信息。
由于 Phantom 是一个 VM,它不受电路模型限制的约束,因此可以具有:
Phantom 最重要的特性或许在于它能够很好地融入 Rust → RISC-V 编译流水线:开发者可以用 Rust 编写程序,无需担心如何将其适配到 FHE。
要开始使用 Phantom,请查看 README。特别是,可参考 template 示例或更复杂的 OTC 示例。
对于约 1KB 的加密程序和约 4KB 的加密内存,在 32 核上平均每个周期大约需要 655ms(在 AWS r6i.metal 实例上进行基准测试)。该实现高度可并行化,我们预期性能会随着核心数量的增加而提升。瓶颈和改进空间技术细节请查看下文。
本文是对 Phantom 作为 RISC-V FHE-VM 的技术深入探讨。
下图是 Phantom 流水线的高级示意图:

步骤 1 由 Rust 编译器开箱即用地提供。步骤 2 只是解析 ELF 文件、解码指令,并将指令编码为 FHE 明文多项式。步骤 3 是简单的加密,步骤 5 是平凡的——将输出密文发送回客户端。
因此,本文档的其余部分将重点关注 FHEVM 的实际构造。
虚拟机由 4 个主要构建块组成:ROM、RAM、Registers 和 PC(程序计数器)。
ROM 是只读存储器,存储程序的指令。RAM 是读/写长期存储,是程序的内存。Registers 充当临时的短期内存,以避免频繁的 RAM 访问[^1]。PC 跟踪下一条指令的地址。
在每个周期,由 PC 寻址的指令从 ROM 中读取并解码。然后执行该指令。指令的执行要么更新 RAM、PC,要么更新 Registers[^2]。
我们可以根据指令更新三者(RAM、PC、Registers)中的哪一个来对指令进行分类。
Arithmetic、load 和 store 指令都有将 PC 增加 4 的副作用。
除了经典的 fetch-decode-execute 流水线外,还有一些 RISC-V 特定的细节:
[x0,...,x31],每个 32 位大小。x0 始终为 0,所有对 x0 的写入都被忽略。总结一下,一个周期:
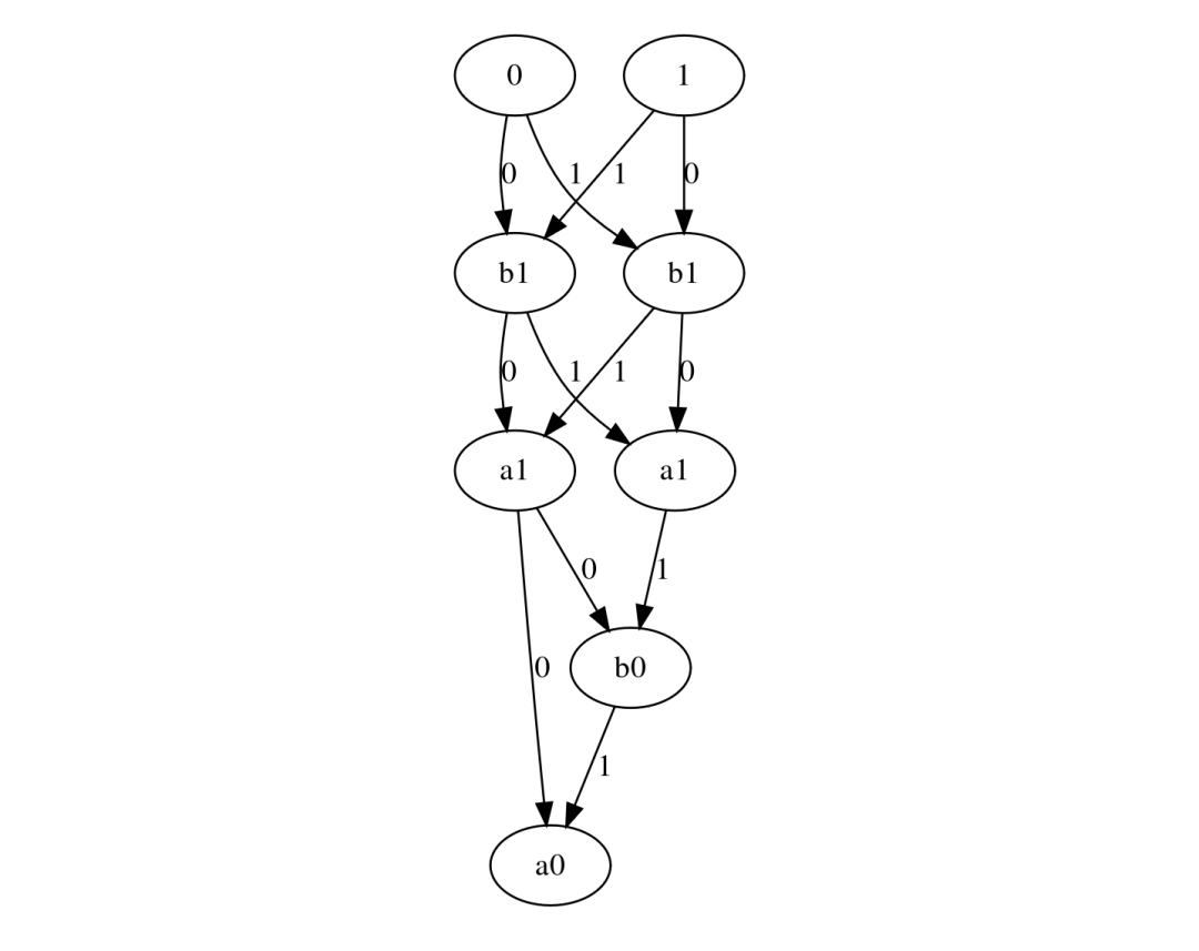
instruction ← ROM[pc]。opcode:操作类型,rd:返回 register,rs1:输入 register 1,rs2:输入 register 2,imm:立即数,硬编码在指令中的常量。x[rd] ← op(x[rs1], x[rs2], imm, pc) 且 pc ← pc + 4。x[rd] ← RAM[x[rs1]+imm] 且 pc ← pc + 4。RAM[x[rs1]+imm] ← x[rs2] 且 pc ← pc + 4。condition,pc ← pc + imm,否则 pc ← pc + 4。这里有一个小程序来说明 fetch-decode-execute 语义。它将 x1 加到 x2 直到 x2 大于 x3,然后将其存储到 RAM:
0x0000: 0x00208133
0x0004: 0xfe316ce3
0x0008: 0x00202023
pc = 0x0000 处的指令:0x00208133。0x00208133 = 0000000 00010 00001 000 00010 0110011。我们有 op = 000 | 0110011 即 ADD,其中 rs1=0b00001,rs2=0b00010 且 rd=0b00010。add(x1, x2) -> x2 并设置 (pc = 0x0004) ← (pc = 0x0000) + 4。pc = 0x0004 处的指令:0xfe30eee3。0xfe316ce3 = 1111111 00011 00010 110 11001 1100011。我们有 op = 110 | 1100011,即 BLTU(无符号比较),其中 rs1 = 0b00010,rs2=0b00011 且 imm=sext(0b111111111100) = -4。x2 < x3 则设置 (pc = 0x0000) ← (pc = 0x0004) - 4,否则增加 (pc = 0x0008) ← (pc = 0x0004) + 4。周期执行将在 pc = 0x0000 和 pc = 0x0004 之间来回切换,直到 x2 >= x3。一旦 x2 >= x3,pc 就增加默认值(4),将其设置为 pc = 0x0008。
pc = 0x0008 处的指令:0x00202023。0x00202023 = 0000000 00010 00000 010 00000 0100011,从 op = 010 | 0100011 可知它是 SW(store word),其中 rs2=0b00010,rs1=0b00000 且 imm=0b000000000000。x2 存储到 RAM 的地址 (x0=0) + (imm=0) = 0 并设置 (pc = 0x000c) ← (pc = 0x0008) + 4。在其核心,同态加密(HE)允许对加密数据进行计算:给定编码明文的密文,可以应用某些代数运算(如加法、乘法)来获得解密为原始明文上这些运算结果的密文。
在基于 GLWE 的 FHE 方案中,加密将明文编码为环上的多项式(或 torus 向量),并支持加法、乘法运算和 automorphisms。
我们在 Torus (所有实多项式的集合)上工作。算术运算在系数上模 执行,在多项式级别模 执行。
我们记 ,并偶尔引用 (整数多项式的集合)。
明文代数遵循 的算术。也就是说,我们可以将消息相加,将它们乘以整数多项式( 的),这包括整数常量和单项式 。我们还可以应用 automorphisms:映射 ,其作用相当于置换系数(最多带有符号变化)。
rank 为 的 GLWE ciphertext 是一个元组 ,其中 ,这里 , 是具有小方差的误差多项式, 且 。
解密执行为 。只要 足够小, 就可以被恢复。
容易看出,这种加密对于密钥的任何线性函数(加法、乘以常数等)都是线性同态的。
GGLWE ciphertext 是加密 的 GLWE 的元组,其中 且 是分解基。更具体地:
这种类型的 ciphertext 支持以下运算:
GGSW 密文是加密 的 GGLWE 的元组,其中 。更具体地:
GGSW ciphertext 格式支持一种称为 external product 的同态运算:
我们将看到 external product 是一个关键运算,它是 Phantom 中使用的许多更高级同态运算的核心。
在深入 Phantom 的各个组件和技术细节之前,我们将对其核心组件进行高级概述。
VM 由四个主要组件组成:
u32。ROM、REGISTERS 和 RAM 都可以使用相同的 API 访问:
此外,在每个周期,VM 将更新以下之一:
ROM、RAM 和 REGISTER 的内存结构为 32 x #u32 矩阵:
┌─────────────┬─────────────┬─────────────┬─────┐
│ u32_{0,0} │ u32_{0,1} │ u32_{0,2} │ ... │
│ u32_{1,0} │ u32_{1,1} │ u32_{1,2} │ ... │
│ ... │ ... │ ... │ ... │
│ u32_{31,0} │ u32_{31,1} │ u32_{31,2} │ ... │
└─────────────┴─────────────┴─────────────┴─────┘
在这种格式中,第 个 u32 的第 位位于索引 。这意味着读取第 个 u32 可以通过将每行循环旋转 个位置并提取第一列来完成。写入也可以用同样的方式完成,首先将第 列移动到索引 ,更新它,然后将其移回原始索引。
这种结构在加密下得以维持,除了列按 个一组进行批处理(GLWE degree):
┌───────────────────────────────────────────┬───────────────────────────────────────────────┬─────┐
│ GLWE([u32_{0,0}, ..., u32_{0,N-1}]) │ GLWE([u32_{0,N}, ..., u32_{0,2N-1}]) │ ... │
│ ... │ ... │ ... │
│ GLWE([u32_{31,0}, ..., u32_{31,N-1}]) │ GLWE([u32_{31,N}, ..., u32_{31,2N-1}]) │ ... │
└───────────────────────────────────────────┴───────────────────────────────────────────────┴─────┘
因此,访问第 个 u32 是通过首先同态地将列循环旋转 ,然后同态地将第一列循环旋转 。结果是,第 个 u32 的各位进入第一列每个 GLWE 的第一个系数,可以提取为一个 FheUint(见下文)。
u32 的 Ciphertext 格式加密的 u32 值可以用两种不同的格式表示,取决于该值是用作数据还是控制。
| GLWE | FheUint | |||
| GGSW | FheUintPrepared |
FheUint — 数据表示(GLWE)一个 32 位字被编码为单个 GLWE ciphertext:
其中索引函数 ,每个系数 对应 u32 的一位。
例如,将一个 u32 字打包到具有 个系数的 GLWE 中看起来像
[
1, 0, 9, 0, 17, 0, 25, 0,
2, 0, 10, 0, 18, 0, 26, 0,
3, 0, 11, 0, 19, 0, 27, 0,
4, 0, 12, 0, 20, 0, 28, 0,
5, 0, 13, 0, 21, 0, 29, 0,
6, 0, 14, 0, 22, 0, 30, 0,
7, 0, 15, 0, 23, 0, 31, 0,
8, 0, 16, 0, 24, 0, 32, 0
]
这种映射支持使用同态 partial trace 进行原生字节粒度的提取/拼接。partial trace 是 automorphisms 的组合,它将此矩阵的第一列置零。通过将 ciphertext 乘以 ,其他列也可以被置零。
FheUintPrepared — 控制表示(GGSWs)用作控制(在算术、分支、位提取、索引中...)的 32 位字被编码为 32 个 GGSW 密文:
这种格式用于二元决策电路的求值、CMUXes、CSWAPs、blind rotations 等,这些将在下面描述。
当 u32 在加载/存储/选择(GLWE)格式中需要用作控制(GGSW)时,Phantom 使用 circuit bootstrapping (CBT) 从 FheUint 表示切换到 FheUintPrepared 表示。
CBT 将 GLWE 的加密位(即 FheUint)映射到一组 GGSW(即 FheUintPrepared),将加密位 转换为加密相同位的 GGSW ciphertext:
其中 表示 u32 消息。
然后 GGSW 被用于我们之前描述的 external product 运算。external product 特别用于构建两个重要的加密运算:
以下是两位加法器最高有效输出位(即第 2 个输出位)的 BDD:

其中 a0, a1 是第一个输入的位,b0, b1 是第二个输入的位。
除了最后一层的节点外,所有节点都是输入节点。要求值 2 位加法电路,从上到下遍历 BDD。在每个节点,如果节点的位值为 0,则分支到用虚线箭头连接的子节点。否则分支到用实线箭头连接的子节点。遍历直到到达其中一个终端节点(在最后一层),即输出位。
现在如果两个输入(位 a0, a1, b0, b1)是加密的,如何遍历 BDD?从上到下的朴素方法会在每个节点使路径数量翻倍,因为两个分支都必须执行。这是行不通的。
但如果从下到上遍历 BDD 呢?确实,输出保持不变。但值得注意的是,我们避免了分支。相反,每个节点操作会折叠(即根据其值,节点选择其子节点之一),最多需要 K 次同态选择。

上图是 2 位加法器 BDD,但是反转的。从终端节点开始,我们迭代地折叠每个节点的入边(即如果节点的位值为 0 则选择标记为 0 的那个,否则选择标记为 1 的那个),直到最后一个节点(即 BDD 的根节点)。输出是最后一个节点选择的输出。我们将反转的 BDD 称为 BDD 电路。
当输入位 a0, a1, b0, b1 被加密时,每个选择都用 CMUX 实现:
其中 SELECT 在 b 等于 0 时选择 x0,否则选择 x1。
通常输入位以 GLWE ciphertext(FHEUint)的形式打包存储,而不是 GGSW 密文。要在加密输入上执行 BDD 电路,我们解包加密位并通过 circuit bootstrapping (CBT) 将每位转换为单独的 GGSW 密文(即 FHEUintPrepared)。
其中 表示 u32 消息。
所有算术/二元运算(如 add、sub、comparitors、and 等)的 32 位输入电路和 PC 更新都实现为 BDD 电路。电路的源代码可在此仓库获取。该代码为任意位宽(即字长 32、64、128、256 等)输入和 RISC-V 兼容的 PC 更新自动生成算术/二元电路。生成的电路与 poulpy FHE 库兼容。
的 GGSW blind rotation 定义为:
其中指数 作为 FheUintPrepared加密:。
每个加密位 通过 CMUX 控制 的旋转:
将所有 个条件旋转链接起来,得到一个常数项为 的 GLWE。
Blind retrieval 用于使用加密索引在加密数组中选择哪个 ciphertext 进行访问——而不泄露索引。
Phantom 支持两种变体:
使用 FheUint32Prepared 索引位和 ,一个二叉 CMUX 树选择:
在 个折叠步骤中完成。输入数组保持不变。
由于我们有位级编码,我们通过 GGSW Blind Rotation 完成选择,将所需的位移动到检索到的 GLWE 的第一个系数中。
加密的 CSWAPs 重新排序 密文 直到:
与 stateless read 类似,GGSW Blind Rotation(也是可逆的)用于将所需的位移动到检索到的 GLWE 的第一个系数中。
在读取或覆盖之后,一个反向 CSWAP 序列恢复初始的加密顺序。
这支持在加密地址处进行加密内存写入。
Blind retrieval 处理数组。Phantom 还支持在加密下从关联映射(hash maps)中进行加密选择,而不泄露访问的键。
给定:
HashMap<u32, GLWE(value)>,FheUintPrepared,blind selection 返回:
如果索引 不在 map 中,返回 GLWE(0)。
求值者永远不会获知:
在内部,blind selection 使用 CMUX 来折叠 hashmap,直到只剩下索引 。
使用 GGSW Blind Rotations 和 GGSW Blind Retrieval 以及一个作为地址的 FheUintPrepared,我们可以在加密内存上实现读和写操作。
回想一下,它被结构化为一个 32 x #u32 矩阵:
┌───────────────────────────────────────────┬───────────────────────────────────────────────┬─────┐
│ GLWE([u32_{0,0}, ..., u32_{0,N-1}]) │ GLWE([u32_{0,N}, ..., u32_{0,2N-1}]) │ ... │
│ ... │ ... │ ... │
│ GLWE([u32_{31,0}, ..., u32_{31,N-1}]) │ GLWE([u32_{31,N}, ..., u32_{31,2N-1}]) │ ... │
└───────────────────────────────────────────┴───────────────────────────────────────────────┴─────┘
rs1、rs2 和 rd 值时就是这种情况。stateless read 通过对矩阵的每一行(u32 的每一位对应一行)调用 GLWE Stateless Blind Retrieval 来实现。u32 的各位被移动到矩阵第一列的 GLWEs 的第一个系数中。在每种情况下,检索到的加密单个位都被同态打包成单个 GLWE 以产生一个 FheUint。
u32 解释为数据 | FheUint |
u32 解释为控制 | FheUintPrepared |
FheUintFheUintPrepared | |
FheUint 内选择一位 | |
FheUint | |
FheUint |
你将在下面找到一个详细的数据流图,说明加密 VM 的各个组件如何相互作用:

基准测试使用 r6i.metal(32 核)获得。
ROM 和 RAM 大小分别为 0.4KB(9 位 PC)和 4KB(12 位地址)。
[^1]: 在硬件中,registers 位于处理器旁边(即实际操作发生的地方)。因此,从 registers 读取非常快。而 RAM 访问则慢几个数量级。
[^2]: 在 rv32i 中,所有指令除了 2 条外,要么只修改 Registers,要么只修改 PC,要么只修改 RAM。只有 JAL、JALR 同时修改 PC 和 Registers。