The convolution of the input vectors a and b:
for
Vandermonde matrix
Lagrange’s formula:
Given an extended point-value representation for
and a corresponding extended point-value representation for ,
then a point-value representation for is

If we choose “complex roots of unity” as the evaluation points, we can produce a point-value representation by taking the discrete Fourier transform (or DFT) of a coefficient vector. We can perform the inverse operation, interpolation, by taking the “inverse DFT” of point-value pairs, yielding a coefficient vector.
FFT accomplishes the DFT and inverse DFT operations in time.
![[Pasted image 20201123105736.png]]
For by
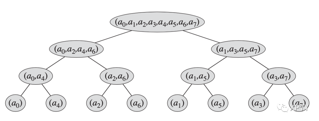
The FFT method employs a divide-and-conquer strategy, using the even-indexed and odd-indexed coefficients of separately to define the two new polynomials and of degree-bound
The problem of evaluating at reduces to
Recursively evaluate the polynomials and of degree-bound at the complex th roots of unity. These subproblems have exactly the same form as the original problem, but are half the size.
We have now successfully divided an -element computation into two element DFTcomputations.

For the entry of is
for to

