Hamiltonian path problem asks whether the input graph contains a path from to that goes through every node exactly once.
is a directed graph with a Hamiltonian path from to .

For the HAMPATH problem, a certificate for a string HAMPATH simply is a Hamiltonian path from to .
We start the construction with a -formula containing clauses,
where each and is a literal or Let be the variables of .
Now we show how to convert to a graph The graph that we construct has various parts to represent the variables and clauses that appear in .
We represent each variable with a diamond-shaped structure that contains a horizontal row of nodes.

We represent each clause of as a single node.

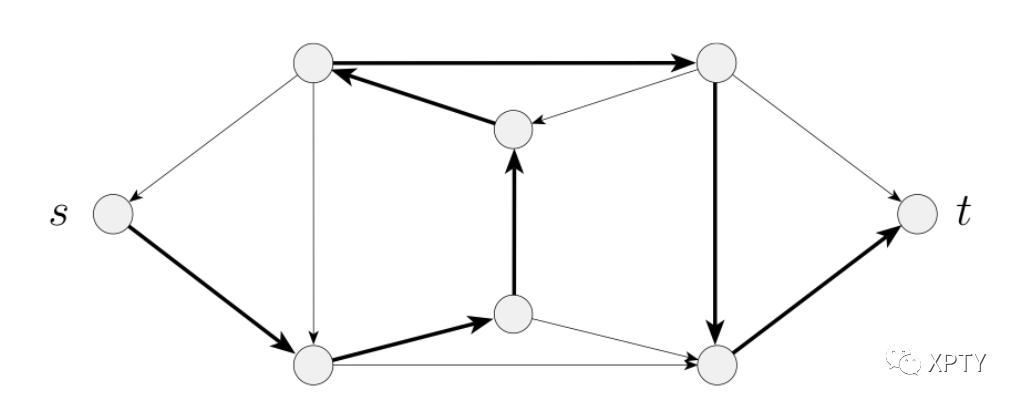
The following figure depicts the global structure of It shows all the elements of and their relationships, except the edges that represent the relationship of the variables to the clauses that contain them.

Next, we show how to connect the diamonds representing the variables to the nodes representing the clauses. Each diamond structure contains a horizontal row of nodes connected by edges running in both directions. The horizontal row contains nodes in addition to the two nodes on the ends belonging to the diamond. These nodes are grouped into adjacent pairs, one for each clause, with extra separator nodes next to the pairs.

If variable appears in clause we add the following two edges from the th pair in the th diamond to the th clause node.

If appears in clause we add two edges from the th pair in the th diamond to the th clause node.

After we add all the edges corresponding to each occurrence of or in each clause, the construction of is complete. To show that this construction works, we argue that if is satisfiable, a Hamiltonian path exists from to and, conversely, if such a path exists, is satisfiable.
Suppose that is satisfiable. To demonstrate a Hamiltonian path from to we first ignore the clause nodes. The path begins at goes through each diamond in turn, and ends up at To hit the horizontal nodes in a diamond, the path either zig-zags from left to right or zag-zigs from right to left; the satisfying assignment to determines which. If is assigned TRUE, the path zig-zags through the corresponding diamond. If is assigned FALSE, the path zag-zigs.

So far, this path covers all the nodes in except the clause nodes. We can easily include them by adding detours at the horizontal nodes. In each clause, we select one of the literals assigned TRUE by the satisfying assignment.
If we selected in clause we can detour at the th pair in the th diamond. Doing so is possible because must be TRUE, so the path zig-zags from left to right through the corresponding diamond. Hence the edges to the node are in the correct order to allow a detour and return.
Similarly, if we selected in clause we can detour at the th pair in the th diamond because must be FALSE, so the path zag-zigs from right to left through the corresponding diamond. Hence the edges to the node again are in the correct order to allow a detour and return. (Note that each true literal in a clause provides an option of a detour to hit the clause node. As a result, if several literals in a clause are true, only one detour is taken.) Thus, we have constructed the desired Hamiltonian path.
For the reverse direction, if has a Hamiltonian path from to we demonstrate a satisfying assignment for If the Hamiltonian path is normal - that is, it goes through the diamonds in order from the top one to the bottom one, except for the detours to the clause nodes-we can easily obtain the satisfying assignment. If the path zig-zags through the diamond, we assign the corresponding variable TRUE; and if it zag-zigs, we assign FALSE. Because each clause node appears on the path, by observing how the detour to it is taken, we may determine which of the literals in the corresponding clause is TRUE.
All that remains to be shown is that a Hamiltonian path must be normal. Normality may fail only if the path enters a clause from one diamond but returns to another.

The path goes from node to but instead of returning to in the same diamond, it returns to in a different diamond. If that occurs, either or must be a separator node. If were a separator node, the only edges entering would be from and If were a separator node, and would be in the same clause pair, and hence the only edges entering would be from , and In either case, the path could not contain node The path cannot enter from or because the path goes elsewhere from these nodes. The path cannot enter from because is the only available node that points at, so the path must exit via . Hence a Hamiltonian path must be normal. This reduction obviously operates in polynomial time and the proof is complete.